Agua caliente sanitaria / Fontanería
Agua caliente sanitaria / Fontanería

Válvulas Arco ha diseñado la válvula X-Flow para proporcionar una válvula específica de gran paso para la conexión de aparatos que requieren un gran caudal (termos eléctricos, calentadores...).
Esta válvula permite interrumpir el paso del caudal al aparato al que suministra facilitando las labores de instalación y mantenimiento.
¿Qué vamos a ver en este post?
Es una válvula de diámetro nominal 9 milímetros muy superior a otras válvulas que estrangulan el paso (especialmente las de cierre cerámico), lo que proporciona:
Escuadra compacta. Facilita el conexionado especialmente cuando es necesario que los latiguillos discurran pegados a la pared.

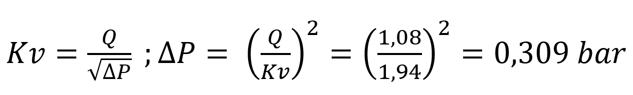
Con un Kv de 1,94 (m3/h).
Vamos a ver un caso práctico: cómo se comporta al abrir una ducha de gran caudal de 0,3 (l/s) o, lo que es lo mismo, 1,08 (m3/h).
(El Kv son metros cúbicos por hora que pasan por la válvula generando una pérdida de carga de 1 bar de presión).

Se puede calcular fácilmente entrando en la gráfica Presión-Caudal:

Del gráfico obtenemos la misma pérdida de carga: 0,3 bar, valor muy inferior al que se da en un accesorio de multicapa o una llave de escuadra común.
Como podemos ver en la tabla el comportamiento de estas piezas para el caudal de 0,3l/s:
|
Elemento |
Kv |
Pérdida de carga |
Optimo |
|
X-Flow |
1,94 |
0,3 bar |
|
|
Llave de escuadra genérica |
1,3 |
0,7 bar |
|
|
Codo de press ?16 mm |
1,25 |
0,74 bar |
Mejora el confort acústico, se reduce el ruido al pasar el agua por su interior al tener más paso.
No solamente en las zonas con presencia de cal en el agua es habitual que la llave se quede bloqueada por no realizarse su maniobra. El sistema Vitaq alarga la vida útil de la válvula garantizando una maniobra suave.
-Te puede interesar: Sistema VITAQ: El sistema de válvulas antical de Arco-
El eje-bola, fabricado en una sola pieza en polímero antical, se acciona fácilmente girándolo 90 grados. Posee las mismas características de resistencia a ciclos y estanqueidad que los fabricados en metal. Pero a diferencia de estos, sobre su superficie no se depositan solidos que pueden llegar a deteriorar las juntas o a impedir partir el mando. Lo que garantiza un caudal constante con el paso del tiempo.
Además, el mando es metálico para garantizar su resistencia mecánica y evitar su rotura.
Esta válvula de escuadra de cuarto de vuelta con sistema VITAQ con un eje de mayor paso, es ideal para todas aquellas instalaciones en las que se requiera mayor confort de caudal sin resignarse a un aspecto compacto. Especialmente para las conexiones de calentador de gas, conexiones de termo eléctrico u otros elementos como lavadora o lavavajillas cuando se requiera presión y caudal.